Уравнения смазочной жидкости
Рассмотрим движение тонкого слоя смазочной жидкости, разделяющего поверхности
Рис. 1.1 Введем неподвижную ортогональную систему координат
Пусть тела прижаты одно к другому нагрузкой Движение поверхности где
Влиянием движения поверхностей, обусловленного их деформациями, на скорости поверхностей пренебрегаем. Это означает, что скорости поверхностей Характерной особенностью данной задачи является малая величина отношения С учетом этого уравнения движения жидкости принимают вид [1]
Здесь Последние два уравнения в (2) можно записать более компактно следующим образом
где вектор Плотность жидкости
На поверхностях
Проинтегрируем уравнение неразрывности (1.6) по переменной
где Плотность смазочного материала изменяется как с изменением давления, так и с изменением температуры. Наиболее часто в теории смазки эту зависимость принимают в виде [1]
где
Типичные значения констант
Изменение температуры по толщине смазочного слоя (по координате
где В подшипниках скольжения изменение температуры по направлению скольжения может достигать нескольких десятков градусов. Это также приводит к незначительному изменению плотности смазочного материала, поэтому в большинстве случаев можно пользоваться формулой
учитывающей только изменение плотности смазочного материала с изменением давления. В большинстве случаев основным видом тепловыделения в смазочном слое является тепловыделение от сдвига. Пренебрегая тепловыделением от сжатия жидкости и пренебрегая в уравнении энергии членами имеющими порядок малости
где Уравнения (1.5), (1.11), (1.12), (1.13) справедливы для всех типов жидких смазочных жидкостей. При заданных функциях
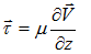
Недостающими уравнениями являются уравнения, определяющие взаимосвязь между тензором напряжений и тензором скоростей деформаций. В рассматриваемом случае эти зависимости сводятся к зависимостям между векторами
где Дифференцируя обе части уравнения (1.14) по переменной
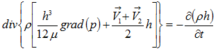
Правая часть уравнения (1.15) не зависит от переменной
где В изотермическом случае данное уравнение принимает вид
Вязкость смазочного материала, входящая в уравнение Рейнольдса, зависит как от давления, так и от температуры. Для учета зависимости вязкости от давления наиболее часто используются две модели. Наиболее простой является модель Баруса [2], в соответствии с которой вязкость экспоненциально растет с ростом давления, то есть
где
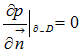
где Чтобы уравнение (1.16), или (1.17) имело единственное решение необходимо задать начальное и граничные условия. Начальное условие однозначно определяется при постановке конкретной задачи, поэтому на данном условии здесь останавливаться не будем. Относительно граничных условий для уравнения Рейнольдса проведено большое количество теоретических и экспериментальных исследований [4-6]. Результаты этих исследований говорят о том, что при высоких давлениях, развиваемых в смазочном слое, может быть использовано условие
где Уравнение (1.16) (или (1.17)) совместно с условием (1.18) однозначно определяют функцию где
Литература1. Галахов М.А., Гусятников П.Б., Новиков А.П.Математические модели контактной гидродинамики. М.: Изд-во «Наука», 1985, 284 с. 2. Dowson D., Higginson G. R. Elastohydrodynamic Lubrication. The Fundamentals of Roller and Gear Lubrication. — Oxford: Permagon Press. — 1966 3. Roelands C. J. A. Correlation aspects of viscosity-temperature-pressure relationship of lubricating oils: PhD Thesis. — Delft: Delft University of Technology. — 1966 4. Флоберг Л. Смазка двух вращающихся цилиндров при переменной подаче масла с учетом разрывной прочности смазывающей жидкости.- Проблемы трения и смазки, 1973, № 2. 5. Койн Дж, Элро Х. Условия разрыва смазочной пленки. Ч. I. Теоретическая модель.- Проблемы трения и смазки, 1970, Т. 92, №3, с. 79-86 6. Койн Дж, Элро Х. Условия разрыва смазочной пленки. Ч. II. Новые граничные условия для уравнения Рейнольдса.- Проблемы трения и смазки, 1971, Т. 93, №1, с. 149-160. |




















English
Русский